CURS ONLINE INTERACTIV

Python 3

PENTRU ÎNCEPĂTORI


"Primul volum Python în română care pur și simplu m-a uimit. Foarte bine explicat și ușor de înțeles." (Alexandru Cosmin)

"Cea mai bună carte de Python din RO." (Iulian Geană)

"Livrare promptă! M-am pus pe treabă!" (Emil Ilie)

TOATE RECENZIILE
PROBLEME REZOLVATE
PAG. 6 / 6
Instrucțiunea alternativă IF
Acasă >>> Lecții online, limbajul Python 3
CERINȚĂ

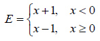
Se citește un număr întreg x. Să se calculeze expresia:



REZOLVARE

Să analizăm programul de mai jos:
Editor - if_ex6.py
       
Rezultatul în consolă done
OBSERVAȚII

O eroare des întâlnită este cea a instrucţiunii scrise de două ori. Despre ce este vorba? Din neatenţie, o anumită instrucţiune este prezentă în ambele instrucţiuni compuse. Corect, ea trebuie pusă după if. Nu ar fi fost mai bine să procedăm ca în programul următor:

x = int(input("x="))
if x<0:
    E = x + 1
else:
    E = x - 1
print(E)


Dacă procedăm ca în primul caz putem afirma că am scris un program lipsit de eleganţă (în rest, ... este corect).
Secțiunea s-a încheiat acum.

Cărțile editurii noastre
O parte dintre manualele și culegerile de probleme se găsește și [în format electronic] securizat sub formă de fișier *.pdf.

"O cameră fără cărţi este ca un corp fără suflet." (G. K. Chesterton)

Cursanții au mai cumpărat ...
[vezi lista completă a cărților]
 home   list  LECȚII   perm_identity   arrow_upward