CURS ONLINE INTERACTIV

Python 3

PENTRU ÎNCEPĂTORI


"Primul volum Python în română care pur și simplu m-a uimit. Foarte bine explicat și ușor de înțeles." (Alexandru Cosmin)

"Cea mai bună carte de Python din RO." (Iulian Geană)

"Livrare promptă! M-am pus pe treabă!" (Emil Ilie)

TOATE RECENZIILE
PROBLEME REZOLVATE
PAG. 4 / 6
Instrucțiunea alternativă IF
Acasă >>> Lecții online, limbajul Python 3
CERINȚĂ

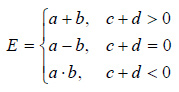
Se citesc 4 valori reale a, b, c, d. Să se evalueze expresia:



REZOLVARE

Exemplu numeric: fie a=1, b=2, c=3, d=4.

Avem c+d=7>0, rezultă că se va tipări a+b=1+2=3.0.

Programul este următorul:
Editor - if_ex4.py
       
Rezultatul în consolă done
Analizează problema rezolvată,
apoi avansează la pagina următoare.

Cărțile editurii noastre
O parte dintre manualele și culegerile de probleme se găsește și [în format electronic] securizat sub formă de fișier *.pdf.

"O cameră fără cărţi este ca un corp fără suflet." (G. K. Chesterton)

Cursanții au mai cumpărat ...
[vezi lista completă a cărților]
 home   list  LECȚII   perm_identity   arrow_upward